| Back |
| 1.Labour Force Participation Rate |
| 2.Employment to Population Ratio |
| 3.Status in Employment |
| 4.Employment by Sector |
| 5.Employment by Occupation |
| 6.Part-time Workers |
| 7.Hours of Work |
| 8.Employment in Informal Economy |
| 9.Unemployment |
| 10.Youth Unemployment |
| 11.Long-term Unemployment |
| 12.Time-related Underemployment |
| 13.Inactivity |
| 14.Education Attainment and Illiteracy |
| 15.Wages and Compensation Costs |
| 16.Labour Productivity |
| 17.Poverty, Income Distribution, Employment by Economic Class |
| |
KILM 9: Unemployment
Click here for detailed indicators –>
9.1 by Sex, Age, Migratory Status, Race, Persons with Disabilities, and district
9.2 (%) by Sex, Age, Migratory Status, Race, Persons with Disabilities, and district
9.3 by Sex, Migratory status and Education
9.4 (%) by Sex, Migratory Status and Education
9.5 by Age, Sex and Education
Introduction and Background
The unemployment rate is probably the best-known labour market measure and certainly one of the most widely quoted by media in many countries as it is believed to reflect the lack of employment at national levels to the greatest and most meaningful extent. Together with the employment to population ratio (KILM 2), it provides the broadest indicator of the labour market situation in countries that collect information on the labour force.
Persons in unemployment are defined as all those 15 years old and over who:
a) Were not in employment;
b) carried out activities to seek employment during a specified recent period; and
c) were currently available to take up employment given a job opportunity.
The definition of unemployment provides an exception in the case of future starters. They are considered unemployed even if they did not carry out activities to seek employment during the specified recent period, criterion b) as long as they satisfy the availability condition.
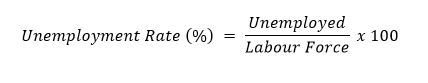
The unemployment rate is defined as the ratio of the unemployed population to the total population in labour force (employed + unemployed), expressed as percentage:

